Для выбора кредита нужно учитывать не только базовую процентную ставку за пользование заемными средствами, но и учитывать полную стоимость данного кредита (займа).
Что такое полная стоимость кредита?
Полная стоимость кредита (ПСК) – это сумма, которую клиент фактически заплатит банку за пользование средствами, реальная цена кредита.
Практика раскрытия настоящей цены банковской ссуды появилась в России не сразу, а после нескольких лет возмущенного непонимания между кредитными учреждениями и заемщиками. Психологически цена кредита под 11% годовых на 15 лет кажется привлекательной, но по итогу, за весь период погашения, придется заплатить вдвое больше, чем было взято. Еще более усложнялось дело обилием комиссий, в процентах и с фиксированной величиной. Некоторые проценты исчислялись от суммы остатка, а другие от первоначальной суммы кредита. В такой ситуации определить реальную стоимость банковской ссуды без сложных вычислений невозможно.
Полная стоимость кредита должна быть рассчитана еще до его получения, т.к. условия кредитования заранее известны.
Важно учитывать, что список расходов, включаемых в ПСК не бесконечен. Он не может быть расширен по аналогии, по мнению одной из сторон сделки или решением каких-либо еще лиц и организаций.
Центральный банк РФ в рамках закона «О потребительском кредите (займе)» обязал рассчитывать и указывать данную величину на первой странице кредитного договора, а именно:
«Полная стоимость потребительского кредита (займа) определяется как в процентах годовых, так и в денежном выражении и рассчитывается в порядке, установленном настоящим Федеральным законом. Полная стоимость потребительского кредита (займа) размещается в квадратных рамках в правом верхнем углу первой страницы договора потребительского кредита (займа) перед таблицей, содержащей индивидуальные условия договора потребительского кредита (займа), и наносится цифрами и прописными буквами черного цвета на белом фоне четким, хорошо читаемым шрифтом максимального размера из используемых на этой странице размеров шрифта. Полная стоимость потребительского кредита (займа) в денежном выражении размещается справа от полной стоимости потребительского кредита (займа), определяемой в процентах годовых. Площадь каждой квадратной рамки должна составлять не менее чем 5 процентов площади первой страницы договора потребительского кредита (займа) (часть 1 в ред. Федерального закона от 05.12.2017 N 378-ФЗ)
Из этого следует, что полная стоимость кредита не обязательно равна сумме, которую заемщик реально заплатит кредитору. Т.к. в процессе погашения возможны:
- Задержки платежей или досрочное погашение. За первое начисляется пеня, второе обещает пересчет процентов и уменьшение общей стоимости кредита или штрафные санкции, если это предусмотрено договором.
- Изменения условий возврата ссуды. Такая возможность часто прописывается в договоре, но ее наступление увязывается с внешними обстоятельствами.
Эти и другие обстоятельства могут повлиять на фактически уплачиваемую заемщиком сумму. Но если изменения в момент получения ссуды не известны, или их наступление зависит не от кредитора, то включать их в общую стоимость кредита не будут.
Важно чтобы полная стоимость кредита была известна заранее, еще до его получения. Если банк скроет информацию об этом, то сделка должна быть признана недействительной, договор кредитования расторгнут, а потраченные клиентом средства возвращены ему.
Для получателей банковских ссуд именно значение полной стоимости кредита, а не процентная ставка, должна быть критерием оценки и сравнения разных кредитных продуктов.
Что входит в расчет ПСК?
В расчет ПСК включаются следующие платежи:
- сумма основного долга;
- проценты на эту сумму;
- различные платежи в пользу кредитора, если они указаны в договоре;
- плата за выпуск и обслуживание электронного средства платежа (пластиковой карты), с помощью которого вы будете погашать кредит;
- различные платежи в пользу третьих лиц (например, страховых компаний, застройщиков, нотариусов и т. д.);
- сумма страховой премии;
- сумма страховой премии по договору добровольного страхования, если в зависимости от его заключения банк предлагает иные условия по кредиту (например, когда изменяется срок возврата, ПСК, процентная ставка, другие платежи и комиссии).
Данные платежи и являются затратами кредитополучателя.
Платежи не входящие в расчет ПСК:
- штрафы за несоблюдение условий договора;
- обязательные виды страхования (КАСКО или страхование квартиры);
- комиссии за валютные операции;
- пени по договору;
- комиссия за приостановление операций;
- плата за безналичный перевод денег;
- плата за получение (погашение) кредита наличными (расчетно-кассовое обслуживание);
- комиссия за пользование онлайн- или мобильным банком, СМС-оповещение.
Как рассчитать полную стоимость кредита?
Процесс вычисления реальной цены кредита происходит по сложным формулам, учить которые для рядового потребителя долго и не обязательно. Однако понимать, как происходит такой расчет полезно.
Прежде всего, уточним – все платежи в рамках кредита вычисляются по собственным формулам. Отдельно рассчитывается основной процент, отдельно комиссии и прочие платежи (в зависимости от условий договора – на первоначальную сумму или от невыплаченного остатка). Затем все полученные цифры суммируются и составляют общую цену ссуды.
Порядок расчета ПСК
Порядок расчета полной стоимости потребительского кредита (займа) приведен во 2 части Федерального закона от 21.07.2014 N 229-ФЗ.
ПСК, определяемая в процентах годовых, рассчитывается по формуле:

где:
- ПСК – полная стоимость кредита (займа);
- i – процентная ставка базового периода, выраженная в десятичной форме;
- ЧБП – число базовых периодов в календарном году.
Это уравнение приведено в тексте закона «О потребительском кредите (займе)» и применяется всеми банками.
Процентная ставка базового периода (i) определяется как наименьшее положительное решение уравнения:

где:
- ДПk – сумма k-го платежа;
- qk– количество полных базовых периодов с момента выдачи кредита до даты k-го платежа;
- ek– срок, выраженный в долях базового периода, с момента завершения qk-го базового периода до даты k-го платежа;
- m – количество платежей;
- i – процентная ставка базового периода, выраженная в десятичной форме.

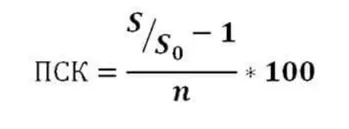
Упрощенный расчет
Сделать самостоятельный расчет поможет упрощенная формула расчета стоимости кредита:

Расчет по ней происходит так:
- сумма всех кредитных платежей (S) делится на полученную от банка сумму (S0);
- из результата деления вычитается единица;
- полученное число делится на n – количество лет погашения ссуды, и умножается на 100.
Итоговую величину стоимости кредита представляют в процентах годовых. Ее можно сравнить с основной процентной ставкой и узнать размер дополнительной переплаты.
Важно: в государственных нормативных актах данной формулы нет. С помощью данной формулы вы можете сами выяснить реальную полную стоимость кредита.
Пример расчета ПСК и ставки базового периода
Рассчитаем ПСК для займа в 20 000 рублей на 5 дней под 0.8% в день. Займ погашается в конце срока единым платежом.
Рассчитаем процентную ставку базового периода (i):
- Сумма займа = 20 000 рублей;
- Срок пользования займом = 5 дней;
- Дневная процентная ставка = 0.8%;
- q1=0– количество полных базовых периодов с момента выдачи займа до даты первого платежа (выдача займа);
- q2=1– количество полных базовых периодов с момента выдачи займа до даты второго платежа (возврат займа);
- e2=0– срок, с момента завершения первого (т.к. q2=1) базового периода до даты второго денежного потока (дата второго денежного потока и дата завершения базового периода в данном примере совпали).
Полная стоимость данного кредита (займа) составит:

Полная стоимость кредита (займа) составить 292% годовых.
Сравнение условий по кредитам – главная задача заемщика, который хочет получить максимальную выгоду, и для их упрощения рекомендуем пользоваться калькулятором займа.

Результат расчета кулькулятором займа
Пример расчета ПСК калькулятором
Вычислим полную стоимость кредита в 1 миллион рублей на 2 года, под 10% годовых и с дополнительной комиссией в 12 тысяч в год. Тип платежей – аннуитетный, т.е. равными долями во все периоды.
период | ежемесячный платеж | по основной сумме | процентные платежи | комиссия | невыплаченный остаток |
1 | 47 144,93 | 37 811.59 | 8 333,33 | 1 000,00 | 962 188,41 |
2 | 47 144,93 | 38 126.69 | 8 018,24 | 1 000,00 | 924 061,72 |
3 | 47 144,93 | 38 444.41 | 7 700,51 | 1 000,00 | 885 617,31 |
4 | 47 144,93 | 38 764.78 | 7 380,14 | 1 000,00 | 846 852,52 |
5 | 47 144,93 | 39 087.82 | 7 057,10 | 1 000,00 | 807 764,70 |
6 | 47 144,93 | 39 413.55 | 6 731,37 | 1 000,00 | 768 351,15 |
7 | 47 144,93 | 39 742.00 | 6 402,93 | 1 000,00 | 728 609,15 |
8 | 47 144,93 | 40 073.18 | 6 071,74 | 1 000,00 | 688 535,96 |
9 | 47 144,93 | 40 407.13 | 5 737,80 | 1 000,00 | 648 128,84 |
10 | 47 144,93 | 40 743.85 | 5 401,07 | 1 000,00 | 607 384,98 |
11 | 47 144,93 | 41 083.38 | 5 061,54 | 1 000,00 | 566 301,60 |
12 | 47 144,93 | 41 425.75 | 4 719,18 | 1 000,00 | 524 875,85 |
13 | 47 144,93 | 41 770.96 | 4 373,97 | 1 000,00 | 483 104,89 |
14 | 47 144,93 | 42 119.05 | 4 025,87 | 1 000,00 | 440 985,84 |
15 | 47 144,93 | 42 470.04 | 3 674,88 | 1 000,00 | 398 515,80 |
16 | 47 144,93 | 42 823.96 | 3 320,96 | 1 000,00 | 355 691,83 |
17 | 47 144,93 | 43 180.83 | 2 964,10 | 1 000,00 | 312 511,01 |
18 | 47 144,93 | 43 540.67 | 2 604,26 | 1 000,00 | 268 970,34 |
19 | 47 144,93 | 43 903.51 | 2 241,42 | 1 000,00 | 225 066,83 |
20 | 47 144,93 | 44 269.37 | 1 875,56 | 1 000,00 | 180 797,46 |
21 | 47 144,93 | 44 638.28 | 1 506,65 | 1 000,00 | 136 159,18 |
22 | 47 144,93 | 45 010.27 | 1 134,66 | 1 000,00 | 91 148,92 |
23 | 47 144,93 | 45 385.35 | 759,57 | 1 000,00 | 45 763,56 |
24 | 47 144,93 | 45 763,56 | 381,36 | 1 000,00 | 0 |
Итого | 1 131 478,32 | 999 999,98 | 107 478,21 | 24000,00 |
Общая выплата по кредиту составляет 1 миллион 131 тысячу 478 рублей 32 копейки. Вставим эту цифру в упрошенную формулу:
((1 131 478,32/1 000 000)-1)/2*100 = 6,57%
Общая стоимость кредита составила чуть более 6 с половиной процентов в год, т.е. 13,15% за два года.
Почему это не похоже на заявленную ставку в 10% годовых?
Потому что проценты начислялись только на сумму невыплаченного остатка, но действовала комиссия, начисляемая от первоначальной суммы кредита.
Этот простой пример показывает, как сильно отличается реальность от того, что кажется понятным до расчета.
Как рассчитать стоимость кредита онлайн?
Расчет полной стоимости кредита, по общей (а не упрощенной) формуле, ручным способом, может стать весьма долгим упражнением в математике. Трата времени здесь гарантирована, а риск ошибок весьма велик. Но, к радости пользователей, интернет предлагает немало кредитных калькуляторов – программ, в которых уже есть все нужные для расчета формулы, и остается только поставить в соответствующие формы свои данные.
В практике поиска кредита будут особенно полезны калькуляторы с возможностью подбора кредита удовлетворяющего заданным параметрам, с функцией поиска кредита на нужную сумму и с подходящей процентной ставкой. Вот хороший пример такого калькулятора.
После ввода данных и подбора кредитных продуктов по заданным критериям, можно узнать полную стоимость выбранного кредита. Для быстрого поиска и сравнения банковских ссуд будет полезна «Таблица подбора кредитов». Это можно сделать сортировкой по 3 параметрам:
- годовой ставке %;
- среднемесячному платежу;
- сумме переплаты за год.
Переход по клику «Получить кредит» не означает подачи заявки на данный конкретный продукт, но только переносит клиента на соответствующую страницу банка с подробной информацией о выбранном варианте.
Подбор потребительских кредитов
Не лишним будет еще раз напомнить, что банки, по действующему законодательству, обязаны письменно сообщать заемщику полную стоимость кредита.
Кредиты с онлайн-заявкой | Подобрать кредитную карту | Сделать вклад
Теперь взять кредит или кредитную карту онлайн стало еще проще. Скачайте и установите мобильное приложение Bankiros.ru в Google Play.В приложении вы можете быстро и бесплатно подобрать кредит или кредитную карту среди самых выгодных предложений, оставить заявку в выбранные банки или отправить единую анкету во все банки в пару кликов.

Курс доллара (USD)
Отзыв о сайте