За последние месяцы цены на новые и подержанные легковушки резко подскочили, при этом количество техники на рынке сократилось. Почему так происходит и чего ждать от авторынка в 2022, рассказали эксперты Bankiros.ru.
Авторынок в цифрах
Как сообщает аналитическое агентство «Автостат» со ссылкой на LMC Automotive, за ноябрь 2021 года мировой автомобильный рынок снизился на 11,2% – до 7,7 млн легковых машин. Подобная отрицательная динамика наблюдается уже седьмой месяц подряд.
Самое большое снижение в процентном соотношении произошло в Южной Америке (-24,5% по сравнению с прошлым годом), а также в Восточной Европе (-18,1%), в США (-15,8%, реализовано чуть больше миллиона машин, Кореи (-16,6%, продано 140,5 тысяч машин) и в Японии (-14,5%, 348,1 тысяча авто).
Крупнейшим поставщиком на рынке остается Китай с сокращением продаж на 6,3% и показателем в 2,5 млн проданной техники. Всего за одиннадцать месяцев этого года в мире реализовано 73,9 млн автомобилей.
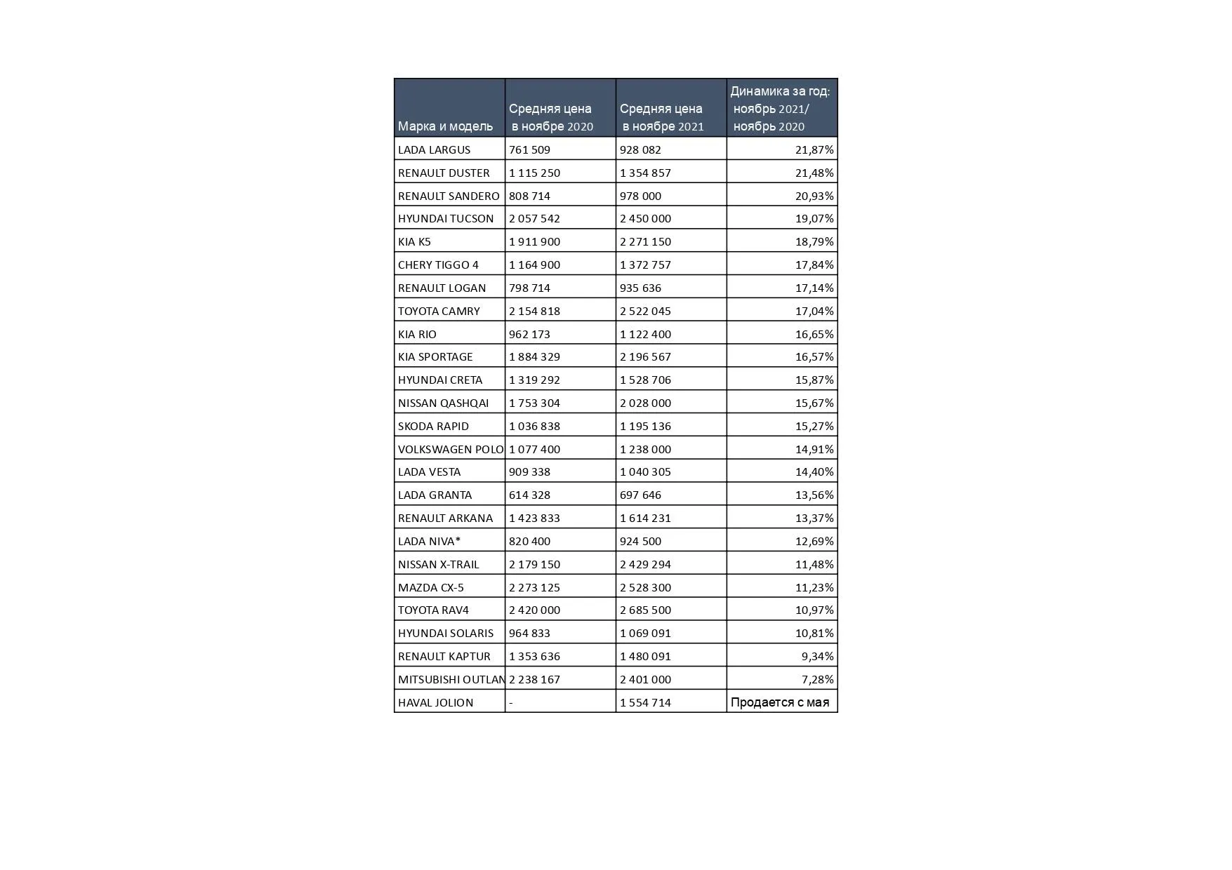
Средняя цена на автомобили с пробегом в сегменте «до семи лет» на 2021 год составляет 1 456 003 рубля, это на 27,7% больше, чем в прошлом году (1 139 823 рубля). В то же время стоимость новой техники увеличилась на 20% с 1,5 млн рублей до 1,8 млн и выше.
Что происходит?
Как нам рассказала Лилия Маркова, генеральный директор компании «Газпромбанк Автолизинг», помимо девальвации рубля, нынешняя ситуация – это результат отложенного спроса, который скопился за период с апреля по июнь прошлого года во время первой волны коронавируса. Тогда дилеры не смогли допродать примерно 70 тысяч легковых и легких коммерческих авто, но наверстали продажи уже к концу 2020 года.
«К началу 2021 года на рынке образовалась нехватка новых машин, обусловленная глобальным кризисом производства из-за пожара на крупнейшем заводе по производству полупроводников, используемых при сборке автомобилей всех типов. Как итог, из-за дефицита автомобилей в салонах дилеров с конца прошлого года мы живем в условиях так называемого «рынка продавца», когда последний диктует конечные цены. Рекомендованные цены, и без того выросшие за год в среднем на 15%, прибавили примерно столько же за счет дилерских накруток», – отмечает эксперт.
Дефицит также отразился и на увеличении сроков поставок во всех сегментах. Даже у популярного отечественного бренда Lada сегодня он составляет в среднем 2-3 месяца, а по некоторым маркам может доходить до одного года. Опрошенные нами Производители, опрошенные компанией «Газпромбанк Автолизинг», зачастую пока никак не комментируют объемы производства будущего года, а нормализацию спроса и предложения ожидают лишь к 1 кварталу 2023 года.

Что говорят дилеры?
По словам Дениса Мавланова, эксперта маркетплейса «Банкавто», Дилеры в таких условиях не хотят в моменте терять прибыль и компенсируют ограниченное количество машин их стоимостью, включая различное дополнительное оборудование и услуги в цену автомобиля в наличии. При этом многие аворитейлеры просто отказываются продавать клиентам машины без дополнительных опций, порядка 95% машин реализуются сегодня с «допами» (по сравнению с 20-30% допандемийной реальности), которые уже установлены на машины, то есть отказаться от них не получится.
«Если говорить о продажах в целом, то рынок падает пятый месяц подряд. Причина все та же – отсутствие у дилеров достаточного количества машин. По данным Ассоциации европейского бизнеса, в ноябре текущего года продано 125 466 автомобилей, что на 20,4% меньше, чем в прошлом году. Однако продажи новых автомобилей за 11 месяцев 2021 года остаются в плюсе (+6,9%) относительно того же периода в 2020-м. Уровень продаж декабря 2020 года (166,7 тысячи новых машин) - практически недостижимый показатель по нынешним временам. Декабрь 2021 скорее всего будет закрыт с цифрой продаж в 135-140 тысяч новых автомобилей. С учетом продаж BMW, Mercedes-Benz и Mini это означает, что годовой объем рынка составит примерно 1,67 миллиона новых машин (+4% к 2020 году)».
Однако, некоторые марки машин смогли увеличить количество продаж. Об этом нам рассказала Анна Уткина, директор по коммуникациям ГК «АВТОDОМ»:
«Но несмотря на ранее указанные трудности, в отдельных сегментах российского авторынка наблюдалось увеличение продаж. Например, в 2021 году объем продаж автомобилей премиум-сегмента вырос на 25%. В массовом сегменте успехов удалось добиться китайским брендам. Так, в течение 2021 года продажи авто из КНР увеличились от 134 до 252% в зависимости от бренда. Это обстоятельство связано с относительно доступной ценой и достойным качеством»

Тренд на авто с пробегом
Еще одна тенденция – переключение спроса на подержанные автомобили с небольшим пробегом возрастом до одного года. По последним данным компании «Газпромбанк Автолизинг» на август 2021 года их цена выросла ровно на треть.По статистике эксперта, основанной на корпоративных продажах, если в 2019 году на долю годовалых легковых и легких коммерческих авто приходилось 19% от всех реализованных юридическим лицам машин, то в первом полугодии 2021 года – уже 27%.
«Примечательным за последний год оказался и тот факт, что цены на автомобили с пробегом росли значительно быстрее, чем прайс-листы по новым машинам при противоположной тенденции последних лет. Так, среди популярных кроссоверов возрастом до трех лет за 3 квартала 2021 года наибольшим ростом отметился BMW X5, средняя цена которого составила 7,5 миллиона (+39% за год). Среди седанов B-класса Volkswagen Polo практически не дешевел – средняя цена модели до трех лет на рынке составила 1,08 миллиона (+37% за год)», – говорит Денис Мавланов.
Также он отмечает, что все владельцы автомобилей, кто в этот период решали избавиться от «двух-трехлетки», не только не теряли относительно цены покупки машины, но по некоторым моделям даже могли остаться с прибылью.
Эксперт предупреждает – долго такая ситуация продолжаться на рынке не будет. Падение рынка новых автомобилей и их стремительное подорожание ведет к тому, что люди все чаще откладывают обмен старого автомобиля на новый. Рынок б/у машин приемлемого качества неизбежно будет продолжать ужиматься, а их цены продолжат рост и в следующем году.

Прогноз на 2022 год
По мнению Лилии Марковой, первая половина 2022 года будет хуже января-июня 2021-го. Однако к концу следующего года рынок может сравняться с нынешним по мере решения проблем с поставками. Также произойдет перераспределение среди лидеров рынка. Например, более высокие позиции в нем займут китайские марки, сумевшие наладить логистику машинокомплектов и поставку готовых машин. В целом ожидать роста авторынка не приходится.
Такого же мнения придерживаются эксперты в «Банкавто». Дефицит электроники, который стал одной из основных причин дефицита автомобилей во всем мире, ослабнет к концу 2022 года. Это наиболее позитивный прогноз. Кризис может продлится и до 2023 года, и дольше, пока ситуация не будет решена путем децентрализации производства микрочипов. Так, Япония и Европа приняли решение об организации собственного производства, в Америку хотят перенести часть производственных мощностей из Азии. Это замет длительное время, поэтому «супербазовые» комплектации без лишней электроники и простой конвейеров останутся с нами и в следующем году.
«Динамика продаж замедляется от месяца к месяцу, и в 2022 году мы скорее всего увидим скромный рост авторынка в пару процентов при оптимистичном или стагнацию рынка продаж новых легковых автомобилей при пессимистичном прогнозе. Причины все те же - непрекращающийся дефицит авто и падение покупательского спроса на фоне продолжающегося роста цен (порядка 1-3 процента в месяц)».
Не ослабнет и покупательский спрос, который подстегивают неопределенность ситуации и гарантированное повышение цен. Дистрибьюторы посчитали, сколько дилеры заработают на каждой сделке. И никто не мешает им теперь самостоятельно продолжать активно переписывать прайс-листы. Некоторые импортеры, к слову, уже запланировали рост цен, который в первом квартале 2022 года скорее всего составит в среднем 10-12%. Процесс остановит лишь очередное затоваривание складов. Желание дилеров получить квартальный бонус дистрибьютора также может немного подстегнуть рынок.

Что делать покупателям?
Как утверждает Лилия Маркова, в следующем году сохранит свою популярность лизинг. Скидки от производителей, закредитованность бизнеса и населения, возможность налоговой оптимизации и отсутствие залога делают его привлекательным на фоне других способов владения. Кроме того, продолжится тренд на использование вместо владения (каршеринг и подписка), позволяющего в ряде случаев более разумно подходить к нагрузке на бюджет.
По оценкам эксперта, в 2024 году по сервисам подписки будет реализовано около 30 тысяч машин.
По мнению Анны Уткиной, хотя российский автомобильный рынок и находится в нестабильном состоянии, откладывать покупку автомобиля на 2022 год не стоит, если имеется потребность в автомобиле.
«При покупке машины за наличные и в моменте о скидках в авторитейле не только на ближайшие месяцы, но и на следующий год можно забыть. Из-за дефицита автомобилей в большинстве салонов не предвидится даже привычных предновогодних акций. Поэтому, в первую очередь, покупателям стоит задуматься, нужна ли машина сейчас или можно подождать еще год-полтора?Если необходимость в машине не так сильна, то можно отложить его покупку. Подождав год-полтора, можно надеяться на нормализацию ситуации на рынке. Проблемы дефицита электроники и задержки поставок машин, вероятнее всего, решатся в начале 2023 года. Тогда же вернутся сезонные акции и спецпредложения», - дает совет Денис Мавланов.
В качестве второго варианта, он предлагает сделать заказ в нужной комплектации с нефиксированной ценой и встать в лист ожидания. Придется подождать от нескольких месяцев до 7-8 месяцев, в зависимости от модели, но появится шанс купить машину без ряда накруток. Также он предупреждает, есть риск, что за время ожидания авто подорожает, и, когда очередь дойдет, его стоимость выйдет за рамки запланированного бюджета.
Если же автомобиль нужен срочно, то с его приобретением лучше поторопиться, пока не выросли цены. Уже в начале 2022 года ожидается подорожание автомобилей на 2-3% в среднем. Поэтому в идеале приобрести машину до нового года. Придется согласиться на авто в наличии и с предлагаемым набором доп.оборудования, отказаться от которого в сложившейся на рынке ситуации довольно проблематично. Потому что даже на автомобиль с внушительным набором «допов» после отказа одного покупателя мгновенно найдется другой желающий. Дилерам нет нужды идти на уступки сейчас, кода автомобилей не хватает, а спрос на них продолжает расти.
Стоит обратить внимание на спецпредложения дилеров в рамках различных промо-акций с банками и производителями. Например, приемлемые цены и процент по кредиту в сотрудничестве с банками предлагают стабильно набирающие популярность китайские автоконцерны.
Напомним, ранее Bankiros.ru рассказывал о том, за что в России ликвидировали тысячи компаний в 2021 году.
Курс доллара (USD)
Отзыв о сайте
Картинг. Хочу помочь детям! Если вы понимаете, что вашей потребностью является благотворительная помощь, то обратите внимание на эту статью. К вам обратились за помощью те, кто без вашего участия может лишиться увлекательного дела. Многие дети, мальчишки и девчонки, мечтают стать пилотами на трассе. Они ходят на занятия, где под руководством опытного тренера изучают приемы скоростного вождения. Только постоянные упражнения позволяют правильно обгонять, выстраивать траекторию и выбирать скорость. В основе победы на трассе лежит хорошая квалификация. И, конечно, профессиональный карт. Дети, которые занимаются в кружках, полностью зависят от взрослых, потому что отсутствие денег и сломанные запчасти не позволяют участвовать в соревнованиях. Сколько удовольствия и новых ощущений испытывают ребята, когда они попадают за руль и начинают управлять машиной. Может быть, именно в таком кружке растут не только чемпионы России, но даже будущие чемпионы мира в этом виде спорта?! Вы можете помочь детской секции картинга, которая находится в городе Сызрань. У нас в настоящее время просто бедственное положение. Все держится на энтузиазме руководителя: Краснова Сергея. Прочитайте моё письмо и посмотрите фотографии. Обратите внимание на то, с каким увлечением работают мои воспитанники. Они любят этот развивающий вид спорта и очень хотят продолжать обучение.
Ну-ну... У Рено Автопродикс в СПб полно автомобилей и в салоне и на площадке. Ну и конечно допы, кредиты со страховками жизни и т.д. И пустой салон без единого клиента. Никаких «мгновенно находящихся желающих» на покупку ковров, сигнализации и защиты картера/радиатора за 200 тысяч нет. Не свистите.