Когда мы берем деньги в долг у своего друга или родственника, то схема возврата долга предельно понятна. А вот когда мы берем деньги в кредит у банка, то есть варианты. Банки сами устанавливают по своим кредитным программам различные способы возврата денег, которые довольно сложны для расчета, но влияют на итоговую сумму переплаты и в итоге всей выгоды сотрудничества с банком. Существует два основных типа возврата кредитных средств или выплат по кредиту: наиболее популярный аннуитетный платеж, и наименее популярный дифференцированный платеж.
Что такое дифференцированный платеж?
Чтобы понять, что такое дифференцированный платеж по кредиту, надо понимать из чего вообще состоят выплаты по кредиту. Когда мы берем деньги в банке, то та сумма, которую мы взяли, является нашим основным долгом. Но банк никогда не дает нам деньги просто так, а начисляет на наш долг проценты. Поэтому вне зависимости от вида платежа, каждая выплата по кредиту состоит из погашения:
- основного долга;
- процентов.
Следующий важный момент заключается в определении той суммы, на которую нам начисляются проценты. Здесь также нет различий: проценты всегда начисляются на сумму основного долга. Соответственно, чем меньше основной долг, тем меньшие мы платим проценты.
Именно типом погашения основного долга, т.е. его уменьшения, и различаются аннуитетный и дифференцированный платеж в банке.
Дифференцированный платеж - это платеж, при котором не меняется сумма на протяжении погашения. При данномтипе банк с самого начала берет всю сумму кредита, срок кредитования (количество лет и месяцев), а затем всю сумму делит ровно на количество месяцев. Таким образом, на протяжении всего срока кредитования в месяц выплаты по погашению основного долга не меняются.
Например, если вы взяли в кредит 1 000 000 руб. на 10 месяцев, то каждый месяц вы будете погашать ровно 100 000 руб. основного долга.
Интересным моментом и, пожалуй, самым важным, здесь является то, что раз постепенно уменьшается размер основного долга, то и величина выплачиваемых процентов тоже уменьшается. Т.е. если в первый месяц условно 10% годовых начисляется на 1 000 000 руб., то во второй месяц уже на 900 000 руб. и т.д. Следовательно, величина ежемесячного платежа по кредиту постоянно меняется.
Аннуитетный платеж построен совершенно по другой системе: в нем величина ежемесячного платежа не меняется со сроком кредитования и осуществляемыми выплатами. Банк с самого начала рассчитывает всю сумму процентов и основного долга, и разбивает ее по периоду кредитования так, что вначале идет преимущественная выплата процентов, а затем уже в ежемесячном платеже возрастает доля суммы, идущая на погашение основного долга. В такой системе начисления процентов они предсказуемо больше, потому что основной долг сокращается гораздо медленнее.
В данный момент наибольшее распространение получил именно аннуитетный вид платежей по кредиту. Дифференцированный встречается гораздо реже.
Формула расчета дифференцированного платежа
Формула расчета дифференцированного платежа состоит из нескольких частей:

где:
- P – размер дифференцированного платежа по кредиту;
- St– сумма платежа по основному долгу;
- In– сумма платежа по начисленным на остаток процентам.
Расчет суммы платежа по основному долгу:

где:
- St– сумма платежа по основному долгу (погашение тела кредита);
- S– сумма кредита (тело кредита);
- n– количество периодов (месяцев), в течение которых выплачивается кредит.
Расчет доли процентов в дифференцированных платежах:

где:
- In– сумма платежа по начисленным на остаток процентам;
- Sn– остаток задолженности по кредиту;
- i – годовая процентная ставка;
- d – количество дней в расчетном месяце;
- D – количество дней в году.
Пример расчета дифференцированного платежа
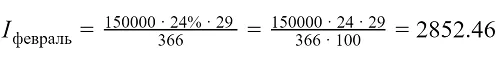
Рассчитаем платежи по кредиту с дифференцированными платежами под 24% годовых на сумму 150 000 рублей и сроком 12 месяцев, взятому 1 февраля 2020 года.
Найдем платеж по основному долгу:

Ежемесячный платеж, идущий на погашение тела кредита составит 12500 рублей.
Рассчитаем проценты за использование кредита. Первый платеж будем производить в марте за пользование заемными средствами в февраль. Так как 2020 год является високосным, делить будем на 366 дней:

Платеж по кредиту за февраль составит:
![]()
Далее найдем платеж за март. Главное при расчете помнить что часть долга по кредиту уже погашена, поэтому мы должны банку уже не 150 000 рублей, а 137 500 (150 000 - 12500):

В марте платеж по кредиту составит 15295.08 рублей. Таким образом рассчитываем для всех остальных платежей.
График погашения кредита
График выплат нашего кредита с дифференцированным способом погашения долга будет выглядеть следующим образом:
Номер платежа | Месяц | Погашение тела кредита | Погашение процентов по кредиту | Ежемесячный платеж | Долг в конце месяца |
1 | март, 2020 | 12 500,00 | 2 852,46 | 15 352,46 | 137 500,00 |
2 | апрель, 2020 | 12 500,00 | 2 795,08 | 15 295,08 | 125 000,00 |
3 | май, 2020 | 12 500,00 | 2 704,92 | 15 204,92 | 112 500,00 |
4 | июнь, 2020 | 12 500,00 | 2 286,89 | 14 786,89 | 100 000,00 |
5 | июль, 2020 | 12 500,00 | 1 967,21 | 14 467,21 | 87 500,00 |
6 | август, 2020 | 12 500,00 | 1 778,69 | 14 278,69 | 75 000,00 |
7 | сентябрь, 2020 | 12 500,00 | 1 524,59 | 14 024,59 | 62 500,00 |
8 | октябрь, 2020 | 12 500,00 | 1 229,51 | 13 729,51 | 50 000,00 |
9 | ноябрь, 2020 | 12 500,00 | 1 016,39 | 13 516,39 | 37 500,00 |
10 | декабрь, 2020 | 12 500,00 | 737,70 | 13 237,70 | 25 000,00 |
11 | январь, 2021 | 12 500,00 | 508,20 | 13 008,20 | 12 500,00 |
12 | февраль, 2021 | 12 500,00 | 254,79 | 12 754,79 | 0,00 |
Итого | 150 000,00 | 19 656,43 | 169 656,43 |

Как видно из диаграммы платежей, общая сумма ежемесячных взносов постоянно снижается. При этом выплаты по телу кредита всегда постоянные (в нашем случае они составляют 12500 рублей), а проценты с каждым месяцем существенно снижаются (если в первый месяц они составляли 2852.46 рублей, то в последний – всего лишь 254.79 рублей).
Преимущества и недостатки дифференцированного платежа
Основным вопросом каждого потенциального клиента банка является вопрос, дифференцированный или аннуитетный вид платежа выбрать.
Основным преимуществом дифференцированного вида выплат по кредиту является тот факт, что итоговая переплата по кредиту будет меньше за счет более быстрого уменьшения основного долга и, соответственно, величины начисляемых процентов.
Однако можно говорить и о некоторых недостатках:
- очень небольшое количество банков предлагают такой способ возврата кредита из-за того, что он является менее выгодным для них за счет меньшей суммы процентов;
- даже если такой способ погашения кредита предлагается, то к клиенту предъявляются более высокие требования, и процент отказа от выдачи кредита выше;
- в первый год выплаты кредита финансовая нагрузка очень высокая, поэтому есть реальная возможность не справиться с ежемесячными выплатами и попасть в долговую яму, если неверно все рассчитать.
В банковской среде принято считать, что ежемесячные дифференцированные платежи больше подходят изначально людям с высоким уровнем дохода, потому что в первом периоде возврата долга суммы будут действительно серьезные.
Но практически все эксперты сходятся в том, что именно дифференцированный способ погашения кредита всегда является более выгодным, даже несмотря на срок кредитования. Аннуитетный платеж более распространен из-за того, что он является максимально понятным для клиентов, выгодным для банков, и позволяет изначально просчитать все свои выплаты и свой бюджет.
Что выгоднее?В случае дифференцируемых платежей на ипотеку, потому что речь идет о больших суммах и, следовательно, большой переплате. В любом случае на сайтах банков есть специальный калькулятор, который помогает рассчитать кредит и все будущие выплаты по нему, в том числе и переплату. Именно с его помощью можно все рассчитать и выбрать наиболее выгодный вариант.
Теперь взять кредит или кредитную карту онлайн стало еще проще. Скачайте и установите мобильное приложение Bankiros.ru в Google Play.В приложении вы можете быстро и бесплатно подобрать кредит или кредитную карту среди самых выгодных предложений, оставить заявку в выбранные банки или отправить единую анкету во все банки в пару кликов.

Курс доллара (USD)
Отзыв о сайте
В статье в очередной раз широко распространенный среди финансово неграмотных товарищей бред....... При аннуитетной схеме никто не запрещает гасить досрочно и выбирать снижение суммы платежа, как итог если гасить теми же суммами, что и при дифференциальной схеме, то итоговая сумма переплат ИДЕНТИЧНАЯ. НО при аннуитетной схеме сумма обязательного платежа ВСЕГДА ниже, чем при дифференциальной и в случае какого-либо форс-мажора аннуитет дает большую свободу маневра.
Ещё один диванный аналитег...Тут речь не о возможности досрочно гасить,при дифференциальной схеме тоже можно,на дистанции переплата будет меньше.И какой может быть форс-мажор если месячный платеж не разделяется на тело и процент,в любом случае отдавать надо весь.